El modelo LEP con faltantes al igual que el modelo sin déficit es de carácter productivo y rigen los mismos postulados, sin embargo su diferencia radica en que en este modelo si se admiten faltantes, es decir, cuando nos quedamos sin inventario y aun se necesitan más cantidades para satisfacer la demanda.
En la siguiente gráfica se muestra el comportamiento del modelo LEP con faltantes relacionando la cantidad a pedir vs el tiempo.
D: demanda
Q: Cantidades a pedir.
Imax: Inventario máximo.
S: Cantidades faltantes.
T1: Tiempo positivo de acción o tiempo de fabricación
T2: Tiempo en el cual se agota el inventario en relación con la demanda.
T3: Tiempo en el cual se empieza a acumular pedidos (existencia de faltantes).
T4: Tiempo en el cual la producción se nivela con los pedidos pendientes.
A partir de la gráfica podemos concluir que una empresa manufacturera que trabaja con una tasa de producción R, presenta una demanda que neutraliza la tasa (R-D) en un tiempo determinado, es decir, a medida que se está ejecutando una orden de producción se debe tener en cuenta las unidades que están siendo demandas.
La producción se lleva a cabo en el tiempo positivo de acción T1 cuando las máquinas involucradas en el proceso inician su operación (al mismo tiempo que se van demandando las unidades) y finalizan cuando se completa la producción del inventario máximo que debemos tener, dando lugar al tiempo T2 en el cual se agota el inventario producido con relación a la demanda. Una vez que nuestro inventario esta en cero, llega un tiempo T3 en el cual no existe inventario y se presentan faltantes (S) para satisfacer la demanda, representándonos la acumulación de pedidos, para dar lugar a un tiempo T4 en el cual la producción se nivela con los pedidos pendientes.
Analizando los supuestos de este modelo, afirmamos que los costos en los cuales incurre este modelo son: el costo de adquisición (Cu) de acuerdo a la cantidad de unidades producidas, el costo que implica ejecutar una orden de producción (Cop), el costo de mantener guardado los inventarios (Cmi), para hallar este último costo debemos calcular el área bajo la curva (zona sombreada). No obstante, encontramos un nuevo costo relacionado con el déficit, denominado costo por faltantes (Cf).
De acuerdo a lo mencionado anteriormente, la expresión que representa el modelo de lote económico de producción con faltante es la siguiente:
Para reemplazar las variables t1, t2, t3, t4 e Imax nos regresamos a la gráfica mostrada inicialmente y hallamos los nuevos valores:
Teniendo en cuenta las ecuaciones (1) y (2):
Basándonos en las ecuaciones (3) y (4):
Empleando la ecuación (5):
Reemplazando las ecuaciones obtenidas en el costo total:
Proseguimos a multiplicar la anterior ecuación por el número de pedidos N con el fin de hallar la fórmula del Costo total anual (Cta) según este modelo.
El modelo de inventario LEP con faltante para minimizar los costos a diferencia del modelo sin déficit debe tenerse en cuenta dos variables:
· La cantidad óptima (Q*)
· La cantidad faltante (S*)
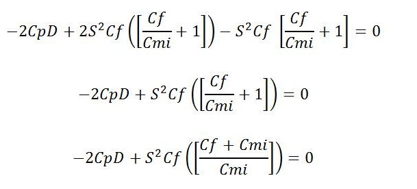
Para lo cual, debemos hallar las derivadas parciales con respecto a las cantidades a pedir y las cantidades faltante:
Obteniendo como resultado final, despues de resolver las anteriores ecuaciones:
REFERENCIA BIBLIOGRAFICA: consultas Medardo Gonzales









































